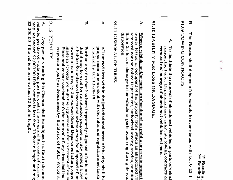
Version History

Type # Version Owner Created Size  
Version 1 2025-23 Ordinance Amending Chapter 91 102425.pdf

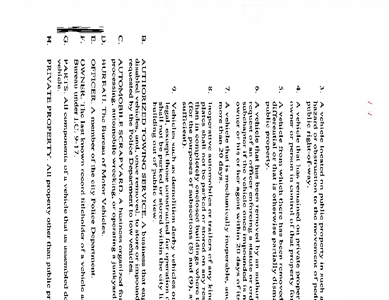
Initial Version

lkpontius 11/28/25 01:43 PM 518719